На сегодняшний день ООО «МИГРАС» предлагает следующие продукты и услуги:
117105, г. Москва,
вн. тер. г. Муниципальный Округ
Донской, Варшавское шоссе, д. 33
ИНН - 9726000550
+7 (905) 509-37-80
info@migras.ru
2024 © ООО "Миграс". Все права защищены
Политика конфиденциальности
Программное обеспечение «SeisFW» автоматизирует процесс создания моделей высокой точности с максимальным разрешением физических свойств в геологической среде.
Область применения: Геофизическое моделирование.
Данный инструмент совместим с другими программными продуктами, наиболее часто используемыми специалистами при поиске и разведке месторождений нефти и газа, также его использование повышает точность геологических построений, увеличивает вероятность открытий месторождений нефти и газа и обеспечивает прирост запасов УВС.
Алгоритм работы
Математическая обработка загруженной матрицы происходит в соответствие со следующими этапами:
1. Построение линейной модели на основе загруженной матрицы.
2. Подготовка и перевод начальной и линейной моделей в квадрат медлительности («squared slowness»).
3. Определение частот для инверсий с учетом следующий параметров:
-
диапазон частот, не больше min(1e3*v(:))/(7.5*dx) или меньше 0.5
-
минимальная частота, используемая для инверсии двойной fMin = 1
-
коэффициент к следующей частоте двойной fFactor = 1,2
-
максимальная частота, используемая для инверсии двойной fMax = 2
4. Заполнение сетки «приемника» и «источника»
5. Регулизация. Учет следующих переменных: Tikhonov; MS; MGS; TV; W_p ^ 1
6. Оценка параметром и применение алгоритма оптимизации «LBFGSB».
7. Расчеты:
-
Оценка основного контура перехода частот
-
Получение «зашумленных» данных, включая Гауссовский шум
-
Смещение сетов, превышающих максимальный предел
-
Увеличение доступной компенсации.
8. Вывод результатов.
Технические требования
Программное обеспечение «SeisFW» функционирует под управлением операционной системы не ниже Windows 10 64x. ОС Windows обязательно должна быть 64битная.
Стоимость
Стоимость программного обеспечения предоставляется по запросу.

SeisFW
автоматизация создания геофизических моделей высокой точности
Программное обеспечение «MIGRaaS_PSTM» (свидетельство о государственной регистрации программы № 2023610814, внесена в реестр программного обеспечения 13 января 2023 г.) - позволяет оперативно и качественно выполнить миграционные преобразования на удаленном вычислительном центре, без установки программного оборудования и связанных с этим затрат. Программа представляет собой облачный сервис для выполнения временной миграции трехмерных сейсмических данных. Область применения программы — обработка данных сейсморазведки (языки программирования JavaScript, Python).
Стоимость лицензий определяется индивидуально в зависимости от количества пользователей, характеристик рабочего места и сроков аренды.
Наш заказчик ЗАО «МИМГО» успешно использует программный продукт в своей производственной деятельности при обработке сейсморазведочных данных.
В процессе регистрации находятся программные продукты, позволяющие осуществлять интеллектуальный анализ сейсмических данных. В частности выполнять работы по интерпретационной дообработке, структурной и динамической интерпретации, прогноза коллекторских свойств резервуаров, сопоставимый с ведущими зарубежными аналогами
Ведется работа над рядом других программных продуктов, информация о которых будет добавляться. В случае Вашей заинтересованности в приобретении программных решений или иных запросов просим обращаться info@migras.ru
SeisXpert
интеллектуальный анализ сейсмических данных
Программное обеспечение интеллектуального анализа сейсмических данных SeisXpert
Программное обеспечение SeisXpert осуществляет расчет, визуализацию и интерпретацию атрибутов сейсмической записи, что позволяет эффективно сопровождать процессы обработки и анализа геофизических данных, обеспечивая пользователя широким спектром инструментов для проведения качественной и количественной интерпретации.
Область применения
Обработка, интерпретация и анализ геофизических данных.
Алгоритм работы
Математическая обработка загруженной информации происходит в соответствие со следующими подходами:
1. Вычисление поверхностных атрибутов на основе загруженных данных в скользящем окне:
-
Среднеквадратичная амплитуда сигнала. Данная оценка является статистической мерой энергии сигнала в окне, вычисляется как квадратный корень из суммы квадратов амплитуд, деленной на количество выборок:
-
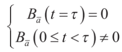
Преобладающая частота спектра. Частота, соответстующая первому переходу через ноль автокореляционной функции (АКФ) сигнала и проводится в несколько подэтапов:
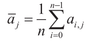
а) расчет средней трассы , каждый j-тый отсчет которой равен среднему значению соответствующих отсчетов всех трасс
б) расчет АКФ средней трассы
в) поиск перехода через ноль τ (в секундах), при этом в случае, если τ не попадает на дискрет записи, для получения наиболее точного значения τ используется интерполяция между отсчетами разных знаков
г) вычисление преобладающей частоты
2. Визуализация полученных вычислений в виде карт.
Технические требования.
Программное обеспечение SeisXpert функционирует под управлением операционной системы не ниже Windows 10 64x. ОС Windows обязательно должна быть 64битная.
Стоимость.
Стоимость программного обеспечения предоставляется по запросу.
Наши продукты:
Наши услуги:
ООО «МИГРАС» оказывает информационно-консультационные услуги в области разработки и использования программных решений, а также разрабатывает программные решения и средства автоматизации процессов недропользования на заказ.
Программное обеспечение SeisFW внесено в реестр российских программ для электронных вычислительных машин и баз данных за номером 28440 от 11.06.2025 г.
Программное обеспечение SeisXpert имеет свидетельство о государственной регистрации в ФИПС от 01.04.2024 г.